Lined Notebook

Chapter 3. Graphical Models

by chulhongsung

안녕하세요, 가짜연구소 Causal Inference 팀의 홍성철입니다. 

Introduction to Causal Inference 강의의 세 번째 챕터이며, 해당 챕터에서 다루는 내용은 아래와 같습니다.

Contents

  • Graphical models란 무엇인가요?
  • Bayesian Networks
  • Causal Graphs
  • Basic building blocks of graphs
  • D-separation

◦ 강의 영상 링크 : Chapter 3 - Graphical Models

    작성된 내용 중 개선점이나 잘못된 부분이 있다면 댓글로 알려주세요!


(1) Graphical models란 무엇인가요?

Probabilistic graphical models, which provides a mechanism for exploiting structure in complex distributions to describe them compactly, and in a way that allows them to be constructed and utilized effectively.
"Probabilistic Graphical Models : Principles and Techniques" (2009, Daphne Koller & Nir Friedman)

 

  • 정의 : 데이터(확률변수)간의 구조를 파악해서 복잡한 분포를 compact하게 표현할 수 있는 방법입니다.
  • 목표 : 
◦ 확률 변수간의 구조 표현 : 인과관계 (방향성) or 상관관계
◦ 복잡한 분포를 표현 : 확률 변수들간의 결합확률분포 (Joint Distribution)

◦ Compact하게 표현 : 분포를 구성하는 Parameter의 수를 줄이는 방식으로 표현 

 

  • Graph 정의 : Graphical model을 통해 변수들간의 구조를 시각화한 방법이 Graph 입니다. (Chapter 3에서는요!)
  • 용어 정리 (Graph Terminology)
Graph : 수학적으로 Node와 Edge의 집합입니다. < $G = (V, E)$ >
Node (Vertex) : Graph에서 주로 변수들을 나타냅니다. 
◦ Edge (Link) : Graph에서 변수들간의 관계를 나타냅니다.
◦ 그래프 방향성 여부에 따라 2가지 형태가 존재합니다.
    1) Undirected Graph : 아래 Nodes와 Edges 그림 처럼 방향성이 없는 그래프
         - 예시 : Markov Random Fields, Boltzmann Machine
    2) Directed Graph : 아래 오른쪽 그림처럼, 화살표가 존재하는 그래프 
         - 예시 : Bayesian Networks, HMM (Hidden Markov Models), Latent Variable Models

영향을 주는 Node이면 Parent (Ancestor)이고, 받는 Node는 Child (Descendant)라고 정의합니다.


DAG (Directed Acyclic Graph) : Directed graph에서 cycle이 존재하는 경우가 있지만,
    DAG는 cycle이 없는 방향성 그래프에 해당 합니다.
     → Cycle이 있는 경우, Causal Inference에서 다루기 까다로워, 해당 강의에서는 DAG만 다룰 예정입니다.

  •  

(2) Bayesian Networks

  • 위에서 설명드린 것 처럼, 방향성 그래프에 속하는 Bayesian Networks에 대해서 알아보도록 하겠습니다.
  • 정의 : 변수 집합의 Dependency 구조와 결합확률분포를 인수분해 방식 (Factorisation)을 통해, 효과적으로 나타내는 Probabilistic graphical models 입니다.
  • 활용 : DAG가 Bayesian Networks에 속하므로, Causal Model을 활용할 때 사용할 수 있습니다..!
  • Joint Distribution 표현 방법 : 
◦ 변수간의 관계 (association)를 모른다면, 확률 연쇄법칙을 사용해서 다음과 같이 조건부 분포들의
    (coditional distribution) 곱으로 결합분포를 표현할 수 있어요.

   - $p(x_1, \dots, x_n) = p(x_1)\prod_{i=2}^n p(x_i | x_{i-1}, \dots, x_1)$

◦  만약 $x_i, i=1,\dots, n$ 가 이항(binary) 변수라면, $p(x_i | x_{i-1}, \dots, x_1)$은 $2^{i-1}$ 개의 모수가 필요해요.

     → 결론적으로 조건부 확률에서 조건으로 주어지는 변수가 많아지면 모수가 지수적으로 증가하게 됩니다.
 

◦  필요없는 변수는 고려하지 말고 영향을 주는 변수만을 골라서 조건으로 준다면, 고려해야하는 경우가 적어지므로
     필요한 모수가 적어질 것입니다..! 
   - 아래 예시에서 $(x_1, x_2, x_3)$가 주어지는 경우, $x_4$ = 1(or $x_4=0$)인 확률, 즉 $p(x_4|x_3, x_2, x_1)$만
     정하면 나머지 확률은 $1-p(x_4|x_3, x_2, x_1)$로 자동으로 정해지게 됩니다.
     → 따라서, 각 $(x_1, x_2, x_3)$ 경우에 1개의 모수만을 필요로 하게 됩니다.


◦  다음 내용에서는 확률 분포의 조건부 독립에 대한 가정에 대해 알아보도록 하겠습니다~!

 

 

  • Local Markov Assumption
◦ 정의 : DAG의 Parent가 주어지면, 노드 X는 나머지 descendants가 아닌 노드들과 독립  
◦ 목적 : Conditional probability를 단순하게 만들기 위해서 입니다..!
    (마치, Markov chain에서 현재 $t$시점의 확률분포가 이전 $(t-1)$ 시점에만 의존하는 것을 생각하면,
    이해가 조금 쉬울 것 같습니다! - $P(X_t|X_{t-1}, \dots, X_1) = P(X_t|X_{t-1})$ )
◦ 기대효과 : 결합분포에서, 조건으로 주어지는 변수가 줄어 고려해야하는 모수가 줄어들게 됩니다!
    → $P(x_1, \dots, x_4) = P(x_1) P(x_2|x_1) P(x_3 | x_2, x_1) P(x_4|x_3)$

◦ 예시 : 아래 그림에서 $X_4$는 $X_3$가 조건으로 주어진다면 나머지 변수들과는 조건부 독립이에요.
    → $P(X_4|X_3,X_2,X_1) = P(X_4|X_3)$

◦ 직관 : "지능 → 성적 → 장학금 수여" 이라는 DAG를 생각해봅시다.
    - 만약 어떤 학생의 성적을 안다면, 그 학생의 지능을 몰라도 장학금을 수여여부를 알 수 있게 됩니다..!
      $P(장학금|지능,성적) = P(장학금|성적)$

 

  • Bayesian Network Factoriation (Chain rule for Bayesian networks)
◦ 정의 : 확률분포 P와 DAG인 G가 주어졌을 때, G에 따른 P의 Factorisation은 아래와 같습니다.
    $p(x_1, \dots, x_n) =\prod_{i=1}^n p(x_i | Pa_i)$
Local Markov assumption ⟺ Bayesian network factorization
    → 위에서 배운 Local Markov assumption과 Bayesian network factorization은 같아요!
       (해당 부분에 대한 증명은 Probabilistic Graphical Models 책의 Chapter 3 참고 부탁드립니다)
◦ Local Markov assumption의 한계 : 독립성(독립, 조건부 독립,...)에 대해서만 정보를 제공합니다.
    → 인접한 Node에 대해서, 종속성 (Dependence)에 대한 보장을 하기 위해서는 조금 더 강한 가정이 필요해요!
    → 그러면 Minimality assumption에 대해 배워보겠습니다.

 

  • Minimality assumption
◦ 정의 : 해당 가정은 2가지 부분으로 구성되어 있습니다. 
    - Local Markov assumption 
    - Adjacent nodes in the DAG are dependent (DAG에서 인접한 노드들은 의존적이다)
◦ 차이점 : Local Markov assumption과 비교 
    - 연결된 노드 X와 Y가 있다고 가정해봅시다. 
    - Local Markov assumption만 있는 경우, 노드 $X$와 $Y$가 있는 경우 $P(x,y) = P(x)P(y|x)$ 뿐만 아니라, 
      $P(x,y) = P(x)P(y)$ 형태도로 인수분해가 가능합니다. (노드 $X$와 $Y$가 독립) 

      그러나, Minimality assumption에서는 추가적인 독립성 가정을 허용하지 않아요.  
         (그래서 해당 가정에서는 $P(x,y) = P(x)P(y)$에 대해 이야기할 수 없어요)


 

(3) Causal Graphs

  • 위에서 다룬 부분은 DAG의 연관성에 (Association) 대한 부분을 다루었습니다.
    그러나, 저희가 다뤄야할 인과성에 (Causation) 대해서는 추가적인 가정이 필요해요 (Causal assumption)
  • Causal Graphs  : Bayesian Networks + 인과성 가정(Causal Edges Assumption
1) What is a cause? 
     만약 변수 Y가 변수 X의 변화에 ​​따라 변할 수 있다면, X는 Y의 원인이라고 합니다. 


2) (Strict) Causal Edges Assumption
    ◦ Directed graph에서, 모든 부모(parent) 노드는 모든 자식(children) 노드의 직접적인 원인입니다.
    → Minimality assumption의 2번째 가정이(Adjacent nodes in the DAG are dependent)
        자연스럽게 strict causal edges assumption으로 연결되며, 부모는 자식의 cause라고 특정하는 가정입니다.



3)  Q : 그러면 Strict하지 않은 가정도 있는 건가요? (non-strict assumption)
     A : 네! 그런데, 우리가 공부할 내용에 대해서는 strict 가정을 만족하는 DAG에 대해서만 다룰 예정이에요

 

 

  • Assumptions Flowchart : DAG의 Causal dependencies를 파악하기 위해서 2가지 가정을 배웠습니다!
1) Markov Assumption 
    : DAG의 부모 노드가 주어지면, 노드 X는 나머지 descendants가 아닌 노드들과 독립  

2) Causal Edges Assumption 
    : Directed graph에서, 모든 부모 노드는 모든 자식 노드의 직접적인 원인
     → 해당 가정은 Minimality Assumption을 내포하고 있어, 위에 Markov Assumption으로 나타냈습니다.

 

(4) Graphical building blocks

  • DAG에서 그래프를 이루는 구성요소와 흐름에 대해서 배워보려고 해요.
  • 그래프의 최소 구성 요소 (D-separation 요소)는 Chain, Fork, Immorality 이렇게 3가지로 이루어져 있습니다.

 

  • Chains & Forks : 3개의 노드로 구성된 DAG 중 Chain, Fork는 동일한 Dependency 성질을 보입니다.
◦  설명 : 
    - $X_2$가 주어지지 않은 경우 :  $X_1, X_3$는 직접 연결되어있지는 않지만, 연관성은 존재합니다.
       → $X_1$에서 $X_3$로 가는 통로가 차단되어 있지 않아, 그대로 정보가 $X_3$까지 흐르게 됩니다.
            (Unblocked Path)


    - $X_2$가 주어진 경우 :  $X_1, X_3$는 조건부 독립입니다. (연관성은 사라지게 됩니다)
       → $X_1$에서 $X_3$로 가는 통로가 차단되어 있어,  $X_1$에 있는 정보가 더이상 흐르지 않게 됩니다.
            (Blocked Path)

◦  목표 : Causal association이외의 Non-causal association 영향을 제거 (Path 차단)
    - Chains : Mediator (매개변수)를 통제 

    - Forks : Confounder (교란변수)를 통제



◦  사례 : 
    - Chains : 위에서 이야기한 사례인 "지능 → 성적 → 장학금 수여" 이라는 DAG를 생각해봅시다.
       → 만약 성적을 알고 있다면, 지능과 장학금 수여에 대한 연관성은 더이상 존재하지 않게 됩니다!
            < 성적을 알고 있고, 그에 따라서 장학금을 수여 받게된 것이기 때문이죠 > 

    - Forks : $X_1, X_2, X_3$가 연관되어 있는 Fork 형태를 선형 모형으로 이해 해봅시다!  
       → $X_1 = X_2 + \epsilon_1$. $X_3 = X_2 + \epsilon_2$  
       → $X_2 \perp \epsilon_1, \epsilon_2$ / $\epsilon_1 \perp \epsilon_2$
       → $X_2 = x$ 로 주어진다면, $x + \epsilon_1 \perp x + \epsilon_2$
            즉, $X_1$과 $X_3$는 조건부 독립입니다.!

 

 

  • Coliders(Immoralities) and their Descendants : 
◦  Immoralities vs Chains & Forks :  
    - Immoralities는 앞에서 설명한 Chains과 Forks와 다른 구조를 가집니다.
    - $X_1$과 $X_3$에 공통으로 영향받는 변수인 $X_2$가 주어진다면, $X_1$과 $X_3$에 연관성이 생기게 됩니다.


◦  목표 : Causal association이외의 Non-causal association영향을 제거 (Path를 차단하지 않음)
    - Immoralities : Collider를 통제하게 되면, Association이 형성되므로 통제하지 X 


◦  만약 Collider의 자손 (Descendents)이 주어졌다면, 어떻게 될까요? 
    - $X_4$가 주어진 경우, $X_1$과 $X_3$는 더 이상 독립이 아니게 됩니다!



◦  사례 1 : 잘생긴 사람들은 무례한가요?
    - $X_2$ (연애여부)를 통제하지 않았을 때 :
외모 ($X_1$)와 친절함 ($X_3$)은 독립에 가깝습니다.
    - $X_2$ (연애여부)를 통제하지 했을 때 :
연애여부를 안다면 ($X_2$),  연애를 하지 않는 사람들은 외모와 친절함과
       음의 상관관계를 가지는 것을 확인해볼 수 있습니다...!


◦  사례 2 : 아래와 같은 Data Generating Process를 살펴봅시다.
    - $X_1$ ~ $N(0,1)$, $X_2$ ~ $N(0,1)$, $X_2 = X_1 + X_3$

    - $X_2$가 조건으로 주어지지 않은 경우, 공분산은 0 (독립)
    - $X_2$가 조건으로 주어진 경우, 공분산은 -1 (음의 상관관계)

 

 

(5) D-separation

  • 일반적인 인과 모형은 앞에서 배운 Building Blocks (Chains, Forks, Immoralities) 처럼 단순하게 구성되어 있지 않아요.
    따라서 복잡한 인과모형에 적용할 수 있는 규칙에 대해 확인해보도록 하겠습니다.
  • D-separation : 
◦  정의 : 두 노드의 집합 $X$, $Y$ 사이의 모든 경로(Path)가 노드 집합 $Z$에 의해 차단되는 경우,
     $X$와 $Y$는 $Z$에 의해 d-separation 된다고 말합니다.

◦  의미 : 
    - 그래프 상에서 확인할 수 있는 d-separation은 확률분포 상 조건부 독립을 의미해요

    - d-separation은 Local Markov assumption보다 더 광범위하므로 Global Markov assumption(dependencies)
      라고도 해요. 이 경우에는 Local과 Global을 구분하지 않고 Markov assumption이라고 합니다...!

     → 복잡한 그래프 구조에서 d-separated 되는 경우를 알아야하고 d-separated에서 나오는
          blocked path를 통해 confounding association 효과를 제거해야 합니다!

     →
Graphical models에서 조건부 독립의 가정/성질(local Markov assumption, d-separated)은
         확률분포의 분해와 연결됩니다.



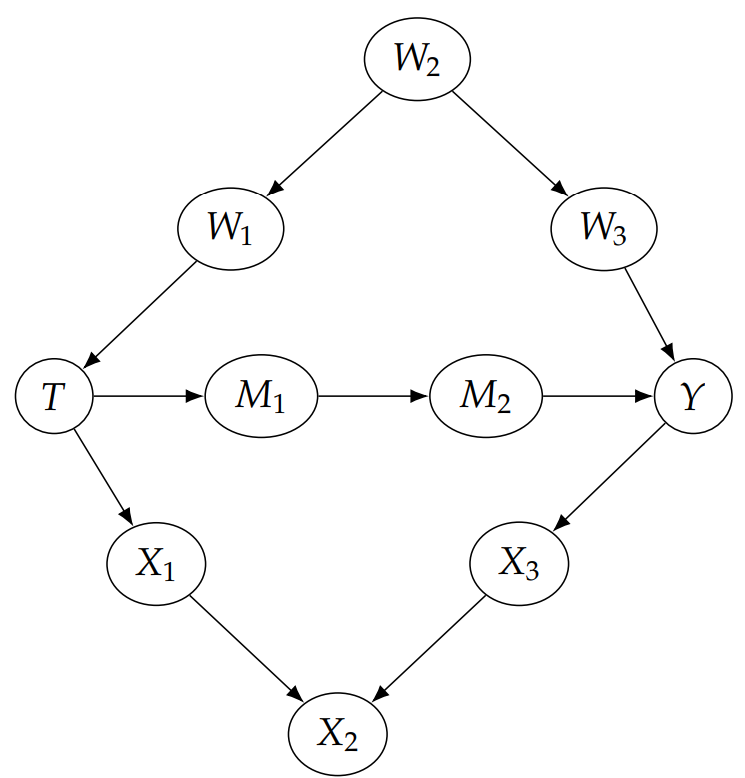
◦  예시 : 
    - $T$와 $Y$는 $\{M_1, W_2, X_2\}$가 주어진 경우, d-separated 될까요?
    - $T$와 $Y$는 $\{M_1, W_2, X_1, X_2\}$가 주어진 경우, d-separated 될까요?
       → 정답은 댓글로 달아주세요!

 

 

To be continued) 배운 Causal Graphs를 활용해 일반화된 방법인 Strcutural Causal Models에 대해 배울 예정입니다.

 

Reference 

◦ Lecture Notes 
   - Bayesian Networks 강의 자료 (카네기 멜론 Uni) [Link]
◦ Books 
   - Probabilistic graphical models principles and techniques [Link]
◦ Blogs
   - Collider 관련 적용 NCSoft 적용 사례 [Link]

'Introduction to Causal Inference' 카테고리의 다른 글

Chapter 5. Randomised Experiments  (0) 2022.08.07
Chapter 4. Causal Models  (2) 2022.07.18
Chapter 2. Potential Outcomes  (0) 2022.07.10
Chapter 1. Motivation  (0) 2022.06.18
Chapter 0. Causal Inference 라이브러리 정리  (0) 2022.06.17

블로그의 정보

가짜연구소 Causal Inference Lab

chulhongsung

활동하기