Lined Notebook

Chapter 5. Randomised Experiments

by dogak

안녕하세요, 가짜연구소 Causal Inference 팀의 김소희입니다. 

Introduction to Causal Inference 강의의 다섯 번째 챕터이며, 해당 챕터에서 다루는 내용은 아래와 같습니다.

Contents

  • Randomized Experiments
  • Frontdoor adjustment

◦ 강의 영상 링크 : Chapter 5 - Randomised Experiments

    작성된 내용 중 개선점이나 잘못된 부분이 있다면 댓글로 알려주세요!


(1) Randomized Experiments

Randomized experiments are magic

 

  • Observational study : 관측되지 않은 confounders의 존재가능성 때문에, unconfoundedness를 보장받거나 backdoor criterion가 존재하는지 알 수 없습니다.
  • Randomized experiments : unobserved confounding의 가능성을 차단함으로써 unconfoundedness를 보장받고 backdoor criterion이 만족되는지 알 수 있게 됩니다.

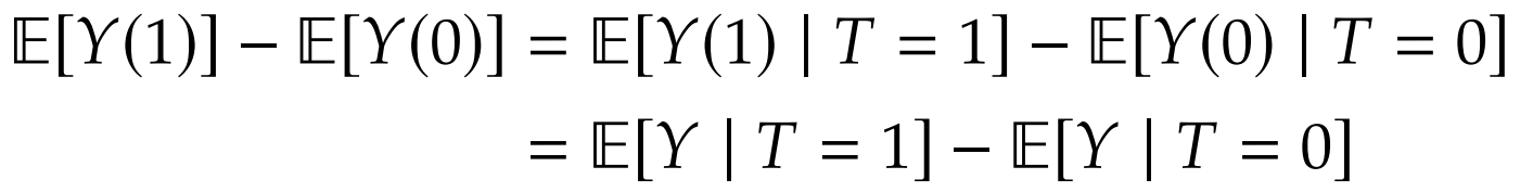
       ⇒ RandomizationAssociation is causation을 성립하게 만들어줍니다!

 

  • Randomized Control Trial (RCT)
1. 2장에 나온 예시 
    ◦ 변수 소개
        - $T$ (Treatment) : 신발을 신고 잔다
        - $Y$ (Outcome) : 다음 날 두통 여부
        - $X$ (Confounder) : 전날 밤 술에 취했는지 여부 

    ◦ Observational study : 신발에 신고 자는 그룹($T=1$) vs 벗고 자는 그룹($T=0$)의 그룹을 있는 그대로 나눕니다.
        - 어떤 문제가 생길까요? Treatment / Control group간 비교 가능하지 않습니다!
        즉, 신발 신고 잔 그룹($T=1$) 중, 전날 술에 취한 사람의 비율(confounding)이 신발 벗고 잔 그룹에 비해
            훨씬 높은 것을 볼 수 있어요.



    ◦ Randomized experiment : 신발을 신고 잘지 벗고 잘지 여부를(treatment를) 동전 던지기로 결정합니다.
         동전 앞뒷면이 나올 확률이 같으므로, 신발 신은 그룹과 벗은 그룹 내 전날 술에 취한 사람의 비율이 
            거의 같아지게 됩니다!

 

  • Randomized Experiments에 대한 3가지 관점 

1. Comparability and Covariate balance


  ◦ 처치 여부에 대한 랜덤화 : 처치 집단과 통제 집단의 다른 모든 조건을 같게 만들고(confounders 분포를 포함), 

        딱 하나 처치 여부만 다르게 합니다.
        따라서 처치 집단과 통제 집단의 결과에 차이가 생길 경우 이를 처치 여부 때문이라고 할 수 있게 됩니다.
    ◦ 처치 여부를 랜덤화 하는 것은 unobserved covariates까지도 covariate balance를 갖게 하는 효과를 가집니다.
        그렇기 때문에 $T$가 $X$에 의해 결정되지 않아요. ($T {\perp \!\!\! \perp} X$)
        $$P(X|T=1)\stackrel{d}{=}P(X) \quad and\quad P(X|T=0)\stackrel{d}{=}P(X)$$

    ◦ Covariate balance : 처치 집단과 통제 집단에서 covariates $X$의 분포가 같음
        $$P(X | T=1) \stackrel{d}{=} P(X|T=0)$$

         → “Covariate balance 이면, association is causation입니다”

    ◦Covariate balance에 대한 부분을 $P(y|do(t)) = P(y|t)$을 통해 증명할 수 있는데요. 과정은 아래와 같습니다.


    ◦ Randomization ⇒ Covariate balance ⇒ “Association is causation”


2. Exchangeability


  ◦ Exchangeability 의미 : Treatment 여부에 따라 아래와 같은 성질이 달라지지 않습니다.
        - 그룹의 구성
        - 평균적 결과

    ◦ Exchangeability의 형식적 정의와 “Association is causation”의 도출과정은 아래와 같아요 < textbook p.51 >
      $$E[Y(0)|T=0] = E[Y(0)|T=1]$$ $$E[Y(1)|T=1] = E[Y(1)|T=0]$$



    ◦ Treatment/Control 그룹이 교환 가능 : 앞면이 나온 사람을 처치 집단에 넣기로 하든 뒷면이 나온 사람을
        처치 집단에 넣기로 하든 각 그룹의 Y에 대한 기댓값은 같습니다.


3. No backdoor paths

    ◦ T를 randomize하면 T는 더이상 인과적 parents를 가지지 않게 됩니다. 
        - $X$ → $T$로 가는 edge가 사라져서 backdoor path가 끊김
        - Unobserved variables도 마찬가지로 path가 끊김

 

 

(2) Frontdoor Adjustment

  • Backdoor adjustment를 다시 리마인드 해봅시다!

        →  왼쪽처럼 빨간색 점선(backdoor path)를 통한 non-causal association이 존재할 때,
              $W_2$와 $C$에 대해 각각 conditioning 함으로써 그 path를 차단할 수 있습니다.

 

 

 

  • Frontdoor Adjustment 도입 배경 : Unobserved Confounders $W$
    ◦ Q : $W$는 unobserved confounder이므로 conditioning을 할 수 없는 경우가 생깁니다. 이 경우 backdoor path를                  막을 수 없게 되는데요, 여전히 $T$ → $Y$에 대한 casual effect를 identify 할 수 있을까요?
 
    ◦ A : “Frontdoor path”를 통해 가능합니다.



    ◦  직관 :
       - 아래 그림에서 Backdoor path는 $T → W → Y$의 Confounding association 입니다.
       - 우리가 관심이 있는 Causal association이 $M$를 통하고 있습니다.
        → $M$에 집중하면, Causal association을 분리할 수 있습니다. 

 

 

  • Frontdoor Adjustment 3가지 Step 
0. Frontdoor Adjustment 과정
    ◦  $T → M$에 대한 인과 효과 Identify
    ◦  $M → Y$에 대한 인과 효과 Identify
    ◦  앞의 2개의 스텝을 합쳐서, $T→ Y$에 대한 인과 효과를 Identify



1. Frontdoor Adjustment : Step 1  < $T → M$에 대한 인과 효과 Identify > 
    ◦  $T → M$으로 가는 path에는 $Y$가 $T→W→Y→M path$에서 collider로 backdoor path를 막고 있어요.
    ◦  따라서 $T → M$으로 가는 association은 causal association만 존재하게 됩니다.
         ⇒ Empty set을 adjustment set으로 사용해, 아래와 같이 bacdkoor adjustment로 identify 가능합니다.
             $$P(m|do(t)) = P(m|t)$$


2. Frontdoor Adjustment : Step 2  < $M → Y$에 대한 인과 효과 Identify > 
    ◦  $M→ Y$에 $M→T→W→Y$의 backdoorpath가 존재하지만, 여기서는 $T$에 대해 conditioning해서
         backdoor path를 막을 수 있어요.

    ◦  Frontdoor adjustment는 backdoor adjustment를 응용한 버전이라고도 볼 수 있어요.
        $$P(y|do(m)) = \sum_tP(y|m,t)P(t)$$

        ⇒ $T$를 sufficient adjustment set으로 사용해서 backdoor adjustment 적용할 수 있습니다.


3. Frontdoor Adjustment : Step 3  < 앞의 2개의 스텝을 합쳐서, $T→ Y$에 대한 인과 효과를 Identify > 

    ◦  $T → Y$ 의 인과 효과 규명을 위해 step1, 2를 chaining 하게 되면 아래와 식과 같습니다.
         $$P(y|do(t)) = \sum_mP(m|do(t))P(y|do(m))$$

 

  • Frontdoor Adjustment Criterion
◦ 만약 ($T$, $M$, $Y$)가 frontdoor criterion를 만족시키고, positivity를 가정한 경우, step1과 step2의 공식을
     step3와 합친식은 아래와 같습니다.
         
       $$ P(y | do(t)) = \sum_mP(m|t)\sum_{t'}P(y|m, t')P(t') $$


◦ 변수 세트 $M$은 $T$와 $Y$에 관해, 다음 조건들이 참이면 frontdoor criterion을 만족시킨다고 할 수 있어요.

     - $M$이 $T → Y$의 효과를 완전하게 매개
          (complete mediation, 예시 : 모든 $T$에서 $Y$로 가는 causal path가 $M$을 지나는 경우)
     - $T$에서 $M$으로 가는 unblocked backdoor path가 없음
     - $M$에서 $Y$로 가는 모든 backdoor path가 $T$에 의해서 blocked

 

 

To be continued)  다음은 Nonparametric Identification 에 대해 배울 예정입니다.

'Introduction to Causal Inference' 카테고리의 다른 글

Chapter 7. Estimation  (0) 2022.08.15
Chapter 6. Nonparametric Identification  (0) 2022.08.14
Chapter 4. Causal Models  (2) 2022.07.18
Chapter 3. Graphical Models  (1) 2022.07.12
Chapter 2. Potential Outcomes  (0) 2022.07.10

블로그의 정보

가짜연구소 Causal Inference Lab

dogak

활동하기